학계 "코로나19 백신의 감염 예방 효과는 거의 없다"
천은미 이대목동병원 호흡기내과 교수
"백신의 감염 예방 효과는 없거나 아주 희박하다"
"바이러스는 대부분 코로 감염되는데 코 점막에 항체가 생기지 않아 1차 방어막 역할을 하지 못했다"
백신의 중증, 사망 예방 효과도 매우 제한적
"방역패스는 백신 효과가 정확히 연구되지 않은 상태로 강요됐던 불합리한 정책"
학계 "팬데믹 상황에서 급하게 임상이 진행됐기 때문에 앞으로 부작용이 더 드러날 것"
백신 맞아도 70% 감염, "한국의 의무접종은 무리수"
백신 맞아도 70% 감염 …"韓 의무접종은 무리수"
WHO 비상사태 해제 … K방역정책 명암 ◆ 코로나 공포 40개월 ◆ 3년4개월간 전 세계를 공포에 몰아넣었던 코로나19 팬데믹 비상사태가 드디어 해제됐다. 그동안 수많은 감염자와 사망자가 발생해
n.news.naver.com
오미크론 확산되자 기존 백신은 효과없는데 예방효과는 없어도 중증완화효과는 있다는 희대의 개소리하길레 엉터리라고 확신했음.
전 여친이 코로나 백신 접종하고 림프절 심하게 부어서 몇 주가 지나도 부기가 안 빠져서 조직 검사를 해보니까 유방암
본인특) 강제로 백신처맞았는데 결국 코로나 걸림 ㅋ
형도 안 맞었잖어 ㅋㅋㅋㅋ
왜 학계에서는 양심을 버리고 침묵하다가 이제왜서 백신 효과 없다고 양심 없는 말을 하냐? 정치인이 그렇게 무서웠나? 제발좀 의사들, 국민의 생명을 책임질 위치에 있는 자들은 자신들의 이익을 위해 양심을 버리지 마라. 백신보다 마스크 하나가 훨씬 낫지 않았냐? 백신 의무화 효과 없다는 의사들 매장시킨 정치인들도 나쁜 노옴들.
방역 성과 자화자찬하는 정부, 성난 피해자 국회 앞으로
팬데믹 종식 하루 전인 31일 오후 서울 여의도 국회 정문 앞. 이날도 백신 접종 피해자와 유족들은 자신들의 이야기에 귀 기울이지 않는 정부와 국회를 향해 '엔데믹은 없다'고 목소리를 높였다.
코 점막 항체, 저 이야기를 이미 예전에 이왕재 교수란 사람이 했는데 그땐 사람들이 이왕재 까면서 교수도 아니라는 둥 믿지를 않고 하더니 이제 이왕재가 한 똑같은 말을 언론 기사로 내 주니까 이젠 믿겠네? 그게 바로 개돼지 아니고 무엇이냐?
오미크론 백신 맞고도 결국 걸려서 일주일 앓아누웠다. 초기엔 어땠을지 몰라도 집요하게 파고드는 변이체에 제대로 대항할 백신은 존재하지 않고 계속 맞아봤자 의미없다는거 느낌.
그럼 백신 하나도 안 맞은 나의 승리?
부러운놈
저 소리하면 다들 미친놈 소리했었지
미접종자 연전연승 ㄷㄷㄷ
나 한번도 안맞았는데 코로나는 커녕 감기도 한번 안걸렸음ㅋㅋㅋ 물론 사회생활하고 마스크는 존나낌
미접종 오늘도 승리하고갑니다잇~! 진짜 힘들었다 ㅋㅋ
오미크론 확산되자 기존 백신은 효과없는데 예방효과는 없어도 중증완화효과는 있다는 희대의 개소리하길레 엉터리라고 확신했음.
끝까지 버티다가 회사에서 본부장이 불러다가 미접종자들 밥따로 격리해서먹고 코로나 걸려서 문제생기면 본인탓으로 돌린다고 협박해서 강제로 쳐맞았는데 존나억울하네
백신맞는거랑 상관없이 확진자는 계속늘어가는데 대체 백신이 효과있다는건 뭘 근거로 말하는거냐 하면 아나키 몰아가던 시절이 불과 1년전 ㅋㅋㅋ 진짜 조선놈들은 개돼지들이 맞다
난 백신도 맞았고 코로나도 걸려봄 븅신임 ㅠㅠ
국민 대다수가 이 케이스 아니냐 ㅋㅋ
조선놈들은 스스로 사고하지 못하고 집단적인 선동에 아주 취약한 놈들이다
호로구라백신 맞은 코붕이 없제?
백신 안맞고 그냥 마스크만 착실히 쓰고 다녔는데.. 난 솔직히 개발된지 얼마 되지도 않은 백신을 맞는다는거 자체에 대한 거부감이 너무 심했음.
정치방역 구라백신에 속은 호구들 없제? 컄ㅋㅋ
이게 당연한거지 흑우들ㅋ
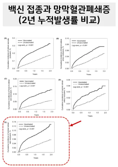
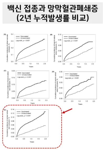
망막혈관폐쇄증 코로나 백신 부작용 논문, 이덕희 경북의대 교수


백신 장기부작용에 대한 증거가 나오기 시작하는군요
며칠 전 npj Vaccines에 백신의 장기 부작용을 시사하는 매우 중요한 논문이 발표되었더군요. 이 논문이 실린 저널은 네이처 자매지로 백신 분야에서 인정받는 주요 학술지입니다. 저자들은 TriNet
brunch.co.kr
"백신 장기부작용에 대한 증거가 나오기 시작하는군요"
이덕희 경북대 의대 교수의 글
코로나 백신 접종과 망막혈관폐쇄증 발생 위험 간의 관련성을 12주와 2년 시점에 각각 평가한 논문 소개 분석 글.
'어디가서 호소해야 하나' 대구, 경북 백신 접종 부작용 피해자 만나보니
정모(39)씨가 지난달 25일 대구 동구 소재 자신이 운영하는 카페에서 지난해 11월19일 세 번째 화이자 접종 후 운동장애성 뇌성마비, 근막통증증후군, 섬
www.idaegu.com
"어디가서 호소해야 하나" 대구·경북 백신 접종 부작용 피해자 만나보니
한 가족 관계에서 두 명. 지옥같은 나날
40대에 노인성 질환 망막혈관폐쇄증
6년 전 완치된 소아마비 질병 다시 찾아와
"1월28일 영남대학교병원에 방문했고, 혈관이 막혀 망막이 손상되는 망막혈관폐쇄증을 진단받았다."
"망막혈관폐쇄증은 대개 60~70대에 발생하는 노인성 질환으로 ‘눈의 중풍’이라 불린다. 진단한 의사도 부작용일 가능성을 배제할 수 없다고 했다는 것이 오씨의 설명이다."
전남대, 코로나19 백신 접종 국내 젊은 남성 심근염 연관 돌연사 위험…연구 논문 국제저널 게재
코로나19 백신접종 후 국내 45세 이하 젊은 남성에서 심근염과 관련된 돌연사 위험이 있는 것으로 나타났다. 코로나19 백신 정책 수립과 새로운 감염병 유행 시 백신 안전성에 대한 정책적 판단에
n.news.naver.com
전남대, 코로나19 백신 접종 국내 젊은 남성 심근염 연관 돌연사 위험 연구 논문 국제저널 게재
코로나19 백신접종 후 국내 45세 이하 젊은 남성에서 심근염과 관련된 돌연사 위험이 있는 것으로 나타났다.
코로나 백신 후유증으로 발생한 자율신경실조증의 특징
코로나 백신의 잠재적인 위험성에 대하여
오상신경외과 신경외과 전문의 오민철
화이자 모더나 mRNA 백신 접종 후 심근염 증가

새로운 논문에 따르면 화이자와 모더나의 코로나 mRNA 백신은 젊은층의 심근염 위험을 증가시킨다.
Myocarditis Cases Reported After mRNA-Based COVID-19 Vaccination in the US From December 2020 to August 2021
This descriptive study compares the effect of mRNA-based COVID-19 vaccination with BNT162b2 (Pfizer-BioNTech) vs mRNA-1273 (Moderna) on the reported cases of myocarditis in the US after each vaccination dose.
jamanetwork.com
미국의 수동적 감시 보고에 따르면 mRNA 기반 COVID-19 백신을 접종한 후 심근염의 위험이 여러 연령 및 성별 계층에 걸쳐 증가했으며 청소년기 남성과 젊은 남성에서 두 번째 백신 접종 후 가장 높았습니다.
연구 기간 동안 총 354,100,845개의 mRNA 기반 COVID-19 백신을 접종받은 192,405,448명 중 VAERS에 대한 1991건의 심근염 보고가 있었고 이 중 1,626건이 심근염 사례 정의를 충족했습니다. 심근염 환자의 중앙 연령은 21세(IQR, 16-31세)였으며 증상 발현까지의 평균 시간은 2일(IQR, 1-3일)이었습니다. 성별이 보고된 심근염 사례의 82%는 남성이었습니다.
COVID-19 백신 접종 후 7일 이내의 심근염 사례에 대한 조잡한 보고율은 여러 연령 및 성별 계층에 걸쳐 예상되는 심근염 발생률을 초과했습니다. 심근염 발병률은 12~15세의 청소년기 남성(BNT162b2 백신 100만 회 접종당 70.7회)에서 2차 접종 후 가장 높았고, 16~17세의 청소년기(105. BNT162b2 백신 100만 회 접종당 9회), 18세에서 24세 사이의 젊은 남성(BNT162b2 접종 100만 회 접종당 52.4회, mRNA-1273 백신 100만회 접종 56.3회). 자세한 임상 정보가 있는 30세 미만의 심근염 사례는 826건이었습니다. 이 중 809명 중 792명(98%)이 트로포닌 수치가 상승했고, 794명 중 569명(72%)이 비정상적인 심전도 결과를 보였고, 312명 중 223명(72%)이 비정상적인 심장 자기 공명 영상 결과를 보였습니다. 대략 96%의 사람(784/813)이 입원했고 이들 중 87%(577/661)가 퇴원 시 증상을 나타내었다.
가장 흔한 치료법은 비스테로이드성 항염증제(589/676; 87%)였습니다. 각기). 자세한 임상 정보가 있는 30세 미만의 심근염 사례는 826건이었습니다. 이 중 809명 중 792명(98%)이 트로포닌 수치가 상승했고, 794명 중 569명(72%)이 비정상적인 심전도 결과를 보였고, 312명 중 223명(72%)이 비정상적인 심장 자기 공명 영상 결과를 보였습니다. 대략 96%의 사람(784/813)이 입원했고 이들 중 87%(577/661)가 퇴원 시 증상을 나타내었다. 가장 흔한 치료법은 비스테로이드성 항염증제(589/676; 87%)였습니다. 각기). 자세한 임상 정보가 있는 30세 미만의 심근염 사례는 826건이었습니다.
이 중 809명 중 792명(98%)이 트로포닌 수치가 상승했고, 794명 중 569명(72%)이 비정상적인 심전도 결과를 보였고, 312명 중 223명(72%)이 비정상적인 심장 자기 공명 영상 결과를 보였습니다. 대략 96%의 사람(784/813)이 입원했고 이들 중 87%(577/661)가 퇴원 시 증상을 나타내었다. 가장 흔한 치료법은 비스테로이드성 항염증제(589/676; 87%)였습니다. 312명 중 223명(72%)에서 비정상적인 심장 자기 공명 영상 결과가 나타났습니다
대략 96%의 사람(784/813)이 입원했고 이들 중 87%(577/661)가 퇴원 시 증상을 나타내었다. 가장 흔한 치료법은 비스테로이드성 항염증제(589/676; 87%)였습니다. 312명 중 223명(72%)에서 비정상적인 심장 자기 공명 영상 결과가 나타났습니다. 대략 96%의 사람(784/813)이 입원했고 이들 중 87%(577/661)가 퇴원 시 증상을 나타내었다. 가장 흔한 치료법은 비스테로이드성 항염증제(589/676; 87%)였습니다.
英 종양학자 "코로나 백신이 암 유발…당장 중단해야"
코로나19 백신은 믿어도 되는가. 접종 시행 1년이 훌쩍 지났는데도 불안감이 가시지 않는다. 한때 암세포까지 죽이는 효과까지 있다며 관련 효과 임상
www.upinews.kr:443
영국 종양학자 "코로나 백신이 암 유발 당장 중단해야"
영국 세인트 조지 대학에서 종양학과 교수이자 AIDS/HIV 연구자인 앵거스 달글레이시 박사는 이미 2020년부터 심각한 백신 부작용이 발생할 것이라고 경고했음에도 보건당국은 이를 무시했고 부스터 접종이 시행되면서 전 세계적으로 암과 심각한 질환들이 급증하고 있다며 당장 접종프로그램을 폐지할 것을 요구했다.
그는 "나는 현직 종양 전문의로서 안정적인 병세를 가졌던 환자들이 부스터 백신을 접종한 후에 급속하게 악화되는 것을 보고 있다"고 말했다.
블라인드 의사: 나는 백신 안 맞았다


나는 코로나 백신 안맞았다.
이제와서 해보는 얘기지만.. 뭔가 납득이 안돼서 안맞았다.
백신 반대론자는 아니다 ㅋㅋ 다른 백신은 다 맞았다.
코로나도 강제로 맞게 했으면 맞았겠지만 다행히 근무하는 병원에서도 맞든 말든 신경 안씀.
백신 안맞은 만큼 조심해서 지냈던것 같다.
근데 결국 코로나도 걸렸다.
나는 나도 모르게 이미 걸렸고 넘어갔겠지 생각했는데 아니었다. 걸리면 걸린줄 안다.. ㅋㅋ
가족 통해서 전염됐다. 가족은 백신 맞았었다.
그냥 다 지나고 나서 그냥 그랬다는 이야기일 뿐이다..
그당시엔 백신 안맞았다는 말 하기 어려웠다. 내가 봐도 좀 또라이들만 안맞았으니까 ㅋㅋ
근데 이제는 이런말 할수 있게 됐겠지?
화이자 접종 후 25일만에 사망. 꽃다운 28세, 세상을 떠나다. 백신 피해 리포트
나도 계속 안맞았고 방역패스 어쩌고 염병떨때도 오기로 더 안맞음. 맞은 사람들 존중함. 근데 본인도 부작용에 대해 불안했지만 타인과 사회를 위해 맞았다며 미접종자들을 단순 이기주의자 취급하는 사람들은 이해안가ㅋㅋ 본인들이 그렇게 숭고한 뜻이 있어 맞아놓고 뭐가 그렇게들 억울하신지.
임산부 맞아도 된다는 기사보고 미접종했는데 개꿀 ~
저두 0차인데 힘들었는데 이제 자신있게 말하고 다닙니다. 의사인데 안 맞기 쉽지않았을텐데 신념 지키신거 멋져요!
대한적십자사 - 자랑거린 아니지만 백신 안맞은건 인생 5손가락 안에 꼽을 정도로 잘한 일. 아 나는 강요에 의한 접종자임. RNA바이러스에 백신이라니 사기도 정도껏이지. 남을 위해 맞네 어쩌네, 무임승차니.. 헛소리일랑 흘리고, 진네오스도 피할 수 있음 피해. 블라인드에 200개 넘는 감기바이러스 중 코로나 코너가 있는것도 웃긴일ㅋ 나중가면 콕사키, 아데노 바이러스 코너도 생길듯ㅋ
안맞고 안걸림..
"외면하는 이유가 뭡니까..." 백신 피해자 가족들의 절규
공무원 - 백신을 뭐 진짜 사회를 위해 맞았다는 놈들이 안맞은사람보고 열내는건 모순이다. 진짜 그렇게 생각했으면 아무 생각 안들어야할텐데?? 왜 지만 손해본 것 같으니까 열이뻗치는거지 ㅋㅋㅋ
mrna 마루타도 씹스캠이고 그걸 꽂으려는 플롯도 너무 비정상적이지않았는가? 질병청 윗대가리들은 지네들 맞은내역 공개 절대 안하고 ㅋㅋ 나는 생물1과 대학생물 지식이 전부이지만, 이세상에 처음으로 급조된 신기술을 '생명공학' 분야에서, 나에게 목숨을 담보로 실험하는건 용납할 수 없었다. 당당히 안맞았고 백신0회에 pcr도 0회다.
내가 맞았음이 곧 증명될 거라 기분이 너무좋다..
안맞고 안걸린 사람 여기도 있음ㅋ 주변엔 3차이상 맞고 다걸림..ㅋ
회사에서 미접이라고 욕 진짜 많이먹었었다
회사에서 미접이라고 욕 진짜 많이먹었다
"이기적인놈"
"애미애비도 없는놈"
"누군 맞고 싶어서 맞는줄알아?""
"코로나 걸리니까 좀 떨어져!"
"마스크 세개 쓰세요."
근데 회식때 높은 분이 하신말.
여기 백신 안맞은 사람 누구에요?
와 한명뿐이네 난 왜 맞았는지 모르겠어요.
백신 맞아도 부작용때문에 아팠고 코로나도 걸리고 옮기고 중요한건 미접종자가 코로나 걸려도 아직 잘살아있네요??
이후부터 아무도 회사에서 날 건들지 않는다.
그리고 회사에도 아무도 백신 맞는 사람이 없다.

하이닉스 - 백신 장기적 인체 영향에 대해서 아는거 있나? 아, 단기적 영향은 알겠다. 2500명 죽고 17000명 영구장애 온거.
경북대학교병원 - 저도 아예 안 맞았습니다 ㅋㅋ 공가 이틀씩이나 줘도요…긴급승인 된 걸 뭘 믿고 맞나요? 상식적으로
노예근성 그득한 민족이라 어쩔수없음ㅋㅋㅋ 수탈의 역사인게 납득이됨 요즘엔ㅋㅋㅋ
경북대학교병원 - 누가 모자랄까요? 급조한 백신이 안전할꺼라고 믿고 그걸 부정하면 “사기”라고 생각하는 사람이 모자랄까요? 아니면 처음부터 거부를 하는 사람이 모자랄까요?
삼성전자 - 회사에서 백신 나오자마자 단체로 우르르 몰려 가 맞던데.. 임원이고 부장이고 꼭 하는 말.
"백신 꼭 맞으세요. 아직 안 맞으신 분 없죠",
"백신 맞아서 이 정도 아픈거다. 너 사회 생활 하려면 꼭 맞아라."
"혹시 사람 만나는 거 안좋아하는 성격이냐?" 까지 들어봤다..
이제 2차 이후 1년 정도 지나니 부작용 생긴 사람들 슬슬 눈에 보임.
같은 부서, 바로 옆 부서 등 건강한 30대라면 발생하기 어려운 혈관, 신경 관련 질환 생긴 사람 여럿 생겼고 본인은 괜찮거나 아직 안왔는데 배우자나 부모 형제가 부작용 생겨서 약 먹거나 병원 다니는 경우가 상당해.
백신 맞고 코로나 걸리고 피곤할 때마다 주사 맞은 곳은 아직도 아프다 ㅜㅜ안 맞은 놈들이 승자다
내가 이럴줄 알았음. ㅅㅂ 강제접종 시키고 직장인들은 미접종하면 식당도 못가게해서 시발 ㅈ같지만 맞았는데 처음부터 끝까지 백신 안믿음.
임상 제대로 거치지도 않는 백신을 맞으라고? 그냥 전세계 생체실험 한거다. 그거에 누구보다 자발적으로 참여한게 조선이고 ㅋ 백신 안 맞은 사람 마녀사냥 하던 개조선이 불과 1년전 ㅋㅋ
문크 척수액 느낌 팍 와서 안 맞고 코로나 안 걸림 ㅋㅋ
혈전생김
근데 진심 당연하게 다 스스로 생각할 수 있는 문제 아니였나... 맞는다고 예방하거나 전파력을 낮출 수도 없고, 신기술에 제대로 임상실험 거치지도 않은 백신을; 무슨 효용성이 있다고 전국민을 강제하고 안맞으면 일상 생활도 못하게 통제했는지 진심 미개....
백신 추진할 당시엔 잘 몰랐겠지만 3차까지 접종한 후 나 자신 감염되고... 주변사람들을 보니 백신 예방효과는 없다고 생각하게 되었음.
백신 아무 효과 없다고 그렇게 얘길 해도 안듣더만! 결국엔 백신 맞아도 걸리는 물백신 국민들 세금 돈만 쳐 발라대고...
학계에서는 코로나19 백신의 감염 예방 효과는 거의 없었다고 본다. 정부는 백신을 확보하기 위해 예산을 7조원 이상 투입한 바 있다.
문재인이 코로나 가지고 장난칠땐 입도 뻥긋 못하던 과학자들이 이젠 말할수 있다? 애라이~ 전문가 라는 사람들이 줏때가 없어요.
비타민c박사가 옳았어 세포내에 Rna변환시켜 코로나바이러스를 잡는단다 그나마 그바이러스 혈관에있는데 어떻게 항체와만나냐? 화이자에 세금 수조 처발른 정치인들.
이제와서 이러면 뭐하냐? 백신접종율 95% 어쩌고 쇼하고 나서 위드코로나 하고서도 확진자,위중증 환자, 사망자 속출하는거 보면 그때 답나온거 아님? 백신 안맞으면 마트, 카페, 식당도 못가게 만들어서 강제로 맞고 부작용,사 망 속출했었지? 완전 제정신 아닌 공산당식 정책이었음! 지금도 백신부작용으로 수십만 아니 수백만이 고통받고 있다!!
백신 부작용, 사망자 잘알제? 코백회라고 백신피해자 가족들 시위하는것도 알고? 백신맞고 부작용, 사망발생하면 답은 늘 정해져 있었지? 백신과의 인과성은 없고 개인탓이다! 주위에 백신으로 사망하거나 부작용 겪은사람 아주쉽게 볼수있었쟎아? 이런 독백신을 회사마다 공문보내서 접종강요했음! 아침에 출근하면 미팅때 백신언제 맞을건지 조사하는 회사가 수두룩했으니! 게다가 학생들 백신 맞힐려고 찿아가는 방문접종까지 시도했었지? 병원버스로 간호사들 직접 학교방문해서 백신접종 시킬려고 발악했음! 진짜 이것들 처벌해야 된다!
나는 단 한차례도 백신을 안맞고 코로나 펜데믹시대를 보냈다 효과도 없는 백신 안맞았다고 백신패스 없다고 음식점 출입도 못하게하여 점심도 못사목는 암흑시절을 보냈다. 돌이켜보면 무식한 정부의 백신정책의 최대 피해자이다 지금 생각하면 손해배상이라도 청구하고싶다.
먹는것도 전성분 봐가며 따지는 사람들이 몸안에 넣는주사 성분도 모르고 임상도 얼마안된것을 줄서서 맞는것을 보고 진짜 신기했다.. 안맞는 사람 단체로 커뮤에서 매장시키는 발언하고... 사이비종교 요즘 핫한데..그 사람들만큼 신기했던게 백신 줄서서맞고 인증서 자랑하던 사람들임.
60대 백신 비 접종자입니다. 그동안 코로나 도 감기도 단 한번도 안 걸리고 잘 지내고 있습니다만..주변 지인들 백신3.4 차씩 접종 하신 분들도 최소 1.2번씩 코로나 감기등 걸려서 호되게 고생들 하시더라구요.. 백신부작용을 감안해서 강제 백신 접종은 옳지 않다고 생각합니다.
코로나때 군인이라 강제로 맞음ㅋ 안 맞고 싶었는데 중대장이 개지랄하더라...
이제와서 백신맞고 죽은사람 유가족들은 세월호보다 더 보상해줘야지. 왜 정치인들은 선동안하냐?????? 선택적 선동 정말 지긋지긋한것들
0.2%인 내가 승리자ㅋㅋㅋ 솔직히 백신덕분에 왜 안맞냐 민폐다 헛소리 찍찍하는놈들 몇 걸러냄.
여친이랑 겨울에 벌벌떨면서도 안맞고 편의점에서 데이트하면서 버텼다ㅋㅋㅋ
나는 pcr만 받고 병원에서 아부지 간병함. 음성확인서 있으면 가능했음.
백수였던 새끼가 이제와서 블라인드에 고해성사 하는 줄 알았더니 ㅅㅂ 의사도 안 맞았노 ㅋㅋㅋ
본인은 살아야할 것 아니겠놐ㅋㅋㅋ
한국 20대 특징이 본인이 이성적이라고 믿으면서 선동은 존나 잘 당하는 듯 ㅋㅋ 막 사회생활 하려면 어쩔 수 없었다고 하는데 경제활동 많이 하는 연령대인 3,40대 제치고 제일 접종률 높은 건 대체 뭔지 ㅋㅋ
그냥 상식적으로 생각만해도 면역도 안되는데 다른 백신처럼 임상 제대로 거친것도 아닌데 그걸 쳐맞는게 이해안되던데.
임상도 제대로 안거쳤는데 어케 믿놐ㅋㅋㅋㅋㅋ 주사 무섭다고 병신코스프레 하면서 버텼다ㅋㅋ
ㅇㄱㄹㅇㅋㅋㅋㅋ이거 백신에 대해 조금이라도 알아봤으면 절대 못맞음
난 영국 부작용 기사 보고 코로나로 죽을지언정 안맞기로 결정함. 백패기간에 참 힘들었지. 이거 진심 보상 받아야한다. 정신적 스트레스 말도 못함. 코로나 보균자 취급에 어이가 없었다. 결과적으로 백신 맞은 사람때문에 코로나 걸려서 억울했음.
난 안맞고 안걸렸다 마스크 씀
나 한번도 안맞았는데 코로나는 커녕 감기도 한번 안걸렸음ㅋㅋ 물론 사회생활하고 마스크는 존나낌
근데 재앙이 돈 존나 많이 썼네. 걍 좀 보여주기식으로 하고말지...
미정갤 연전연승 압승
미정갤 이걸로 존나 욕 처먹었는데 묫자리 알아봐야겠노
미래를 내다본 정의의 갤러리 ㄷㄷ
미정갤을 정신병갤로 몰던 새끼들 사실 여론조작팀였음 ㅋㅋ
이거지 ㅋㅋ
백신부작용에 대해 조금이라도 알았음 미정갤이 정신병갤일 수 없음. 백패 때 미친놈들 엄청 들어와서 글 남기더니 요즘은 없는 거 보면 여론조작팀일거고 그것들 벌받을거다. 이미 이 세상에 없을지도.
코로나 백신 부작용 청와대 청원
언론이 보도하지 않는 많은 백신 부작용 사례들 청와대 청원 화이자 모더나 AZ 백신 부작용 21세 대학생 모더나 2차 접종 후 급성백혈병 HTML 삽입 미리보기할 수 없는 소스 국민의 힘 백신패스 폐
itmii.tistory.com
'Life Square > 일상 Daily News' 카테고리의 다른 글
| GS건설 아파트 자이 주차장 붕괴 철근좌 예언 (1) | 2023.05.10 |
|---|---|
| 웰스파고 파산, SEC 금융주 공매도 금지 썰 (1) | 2023.05.07 |
| 셀트리온 복장 규정 논란 (1) | 2023.04.20 |
| 일본 코스어 피스칼 성추문 여고생 자살 사건 (0) | 2023.04.15 |
| 누누티비 서비스 종료 (1) | 2023.04.14 |
| 분당 정자교 다리 붕괴 (2) | 2023.04.06 |
| 포스코 광양제철소 칼부림 사건 (0) | 2023.03.30 |
| 손흥민 김민재 인스타 서로 언팔 (2) | 2023.03.29 |